Appendices
Clasification Society 2024 - Version 9.40
Statutory Documents - IMO Publications and Documents - Guidelines - SOPEP - Guidelines for the Development of Shipboard Oil Pollution Emergency PlansResolution MEPC.54(32) Amended by Resolution MEPC.86(44) - Appendix II - Example format for shipboard oil pollution emergency plan - Appendices

Appendices

 The following appendices should be attached to the Plan, as a minimum:

 The following table provides an example of how ship interest contact information could be presented:

(a) Owner/Operator contacts

(b) Other ship interest contacts

 Additionally the following information could be attached:

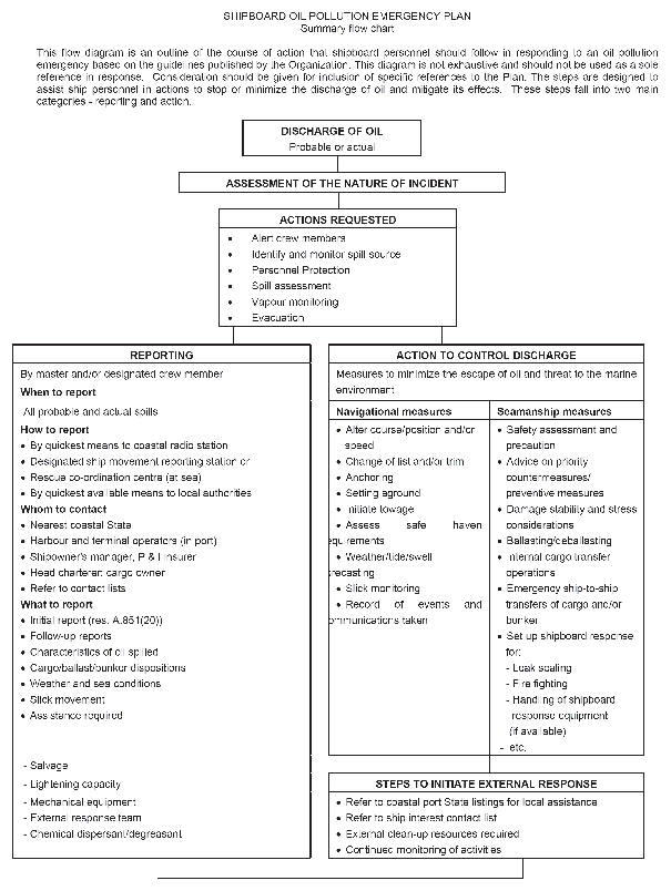
  • summary flow chart (consideration should be given to adapting the flow chart for bulkhead display on board);
  • information relevant to roles and responsibilities of national and local authorities;
  • other reference material.

Figure 2. Summary flow chart


Copyright 2022 Clasifications Register Group Limited, International Maritime Organization, International Labour Organization or Maritime and Coastguard Agency. All rights reserved. Clasifications Register Group Limited, its affiliates and subsidiaries and their respective officers, employees or agents are, individually and collectively, referred to in this clause as 'Clasifications Register'. Clasifications Register assumes no responsibility and shall not be liable to any person for any loss, damage or expense caused by reliance on the information or advice in this document or howsoever provided, unless that person has signed a contract with the relevant Clasifications Register entity for the provision of this information or advice and in that case any responsibility or liability is exclusively on the terms and conditions set out in that contract.