Part B - DSC alerting signal
Clasification Society 2024 - Version 9.40
Statutory Documents - IMO Publications and Documents - Resolutions - Assembly - IMO Resolution A.805(19) – Performance Standards for Float-Free VHF Emergency Position-Indicating Radio Beacons – (Adopted on 23 November 1995) - Annex - Recommendation on Performance Standards for Float-Free VHF Emergency Position-Indicating Radio Beacons - Part B - DSC alerting signal

Part B - DSC alerting signal

  1 The VHF EPIRB DSC distress alerting signal should be transmitted on the frequency of 156.525 MHz using G2B class of emission.

  2 The frequency tolerance should not exceed 10 parts per million.

  3 The necessary bandwidth should be less than 16 kHz.

  4 The output power should be at least 100 mW.

  5 The emission should be vertically polarized at the source.

  6 Modulation

  6.1 Frequency modulation with a pre-emphasis characteristic of 6 dB/octave (phase modulation) with the modulating sub-carrier, should be used.

  6.2 A sub-carrier of 1,700 Hz with frequency shift between 1,300 Hz and 2,100 Hz should be used.

  6.3 The frequency tolerance of 1,300 Hz and 2,100 Hz tones should be within ± 10 Hz.

  6.4 The modulation rate should be 1,200 bauds.

  6.5 The index of modulation should be 2.0 ± 10%.

  7 DSC Message Format and Transmission Sequence

  7.1 The technical characteristics for the DSC message should be in accordance with the sequence for the "distress call" specified in Recommendation ITU-R M.493.

  7.2 The "nature of distress" indication should be "EPIRB emission".

  7.3 The "distress co-ordinates" and "time" information need not be included. In this case the digit 9 repeated 10 times and the digit 8 repeated four times should be included as specified in Recommendation ITU-R M.493.

  7.4 The "type of subsequent communication" indication should be "no information" (symbol # 126) which indicates that no subsequent communications will follow.

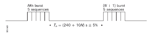
  7.5 The alerting signals should be transmitted in bursts. The (N+1) burst of transmission which consists of five successive DSC sequences should be made with an interval of Tn after the Nth burst as given in Figure 1.

 Where:

  • Tn = (240 + 10N) s ± 5%

 and

  • N = 1, 2, 3, ...

Figure 1 Alerting Signals


Copyright 2022 Clasifications Register Group Limited, International Maritime Organization, International Labour Organization or Maritime and Coastguard Agency. All rights reserved. Clasifications Register Group Limited, its affiliates and subsidiaries and their respective officers, employees or agents are, individually and collectively, referred to in this clause as 'Clasifications Register'. Clasifications Register assumes no responsibility and shall not be liable to any person for any loss, damage or expense caused by reliance on the information or advice in this document or howsoever provided, unless that person has signed a contract with the relevant Clasifications Register entity for the provision of this information or advice and in that case any responsibility or liability is exclusively on the terms and conditions set out in that contract.